2025년 공무원 봉급표 2025 교사 호봉표 군인 월급
공무원 봉급표 2025은 공무원들의 급여 체계와 복지를 결정하는 중요한 기준입니다. 매년 경제 상황과 물가 변동 등을 반영하여 조정되는 봉급표는 공무원 생활 안정에 큰 영향을 미칩니다. 2025년 봉급표에서는 특히 초임 공무원들의 급여 인상과 직급별 수당 조정이 주목받고 있습니다. 공무원 봉급표 2025은 실질 소득 개선을 목표로 설계되었습니다. 이로 인해 많은 공무원들이 직무 만족도와 생활 안정성을 기대하며, 정부의 공공 서비스 질 향상에도 긍정적인 영향을 미칠 것으로 보입니다.
공무원 보수규정 주요 변경 사항
공무원보수규정 [시행 2025. 1. 3.] [대통령령 제35181호, 2025. 1. 3., 일부개정]에 따르면, 전체적인 인상률은 평균 3%로 책정되었습니다. 이는 물가 상승률과 경제 안정성을 고려한 결과입니다. 특히 저연차 공무원을 위한 추가 인상이 눈에 띕니다. 이번 개정은 신입 공무원들의 경제적 부담을 줄이고 초기 경력을 지원하기 위한 정책으로, 많은 공무원들의 긍정적인 반응을 얻고 있습니다.

저연차 공무원 우대 정책
- 9급 1호봉: 기본 3% 인상에 추가 3.6%를 더해 총 6.6% 인상
- 7~9급 저연차 공무원: 추가 인상 혜택 적용
저연차 공무원의 경제적 부담 완화를 위해 마련된 이번 우대 정책은 공무원 생활의 안정성을 크게 향상시키는 데 기여할 것으로 보입니다. 특히, 경력 초기의 공무원들에게 실질적인 도움을 제공하여 업무 집중도를 높일 수 있습니다.
교원 및 국립대학 교원 봉급표

교원 봉급표 (유치원~고등학교)
교육부 장관의 관리 하에, 교원들의 봉급은 고정급으로 지급되며, 경력 및 호봉에 따라 차등 적용됩니다. 기간제 교원의 경우, 근무 시간에 비례하여 봉급이 책정됩니다. 교원 봉급의 체계적인 조정은 교육 현장에서 일하는 교사들의 근무 환경을 개선하고, 학생 교육의 질을 높이는 데 기여할 것입니다.
국립대학 교원 봉급표

- 국립대학 총장: 9,127,800원 ~ 9,293,500원
- 조교: 해당 호봉 봉급에서 138,800원을 뺀 금액으로 산정
특정 직책과 책임에 따라 봉급이 차별화되며, 대학교원의 경우 성과와 학교 규모에 따라 추가 조정이 이루어집니다. 이는 교수들의 동기 부여와 연구 성과를 높이는 데 긍정적인 영향을 미칠 것으로 보입니다.
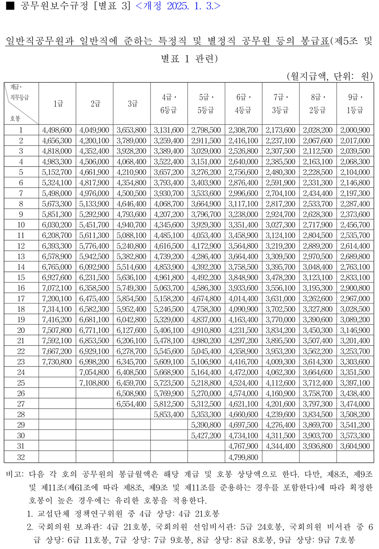
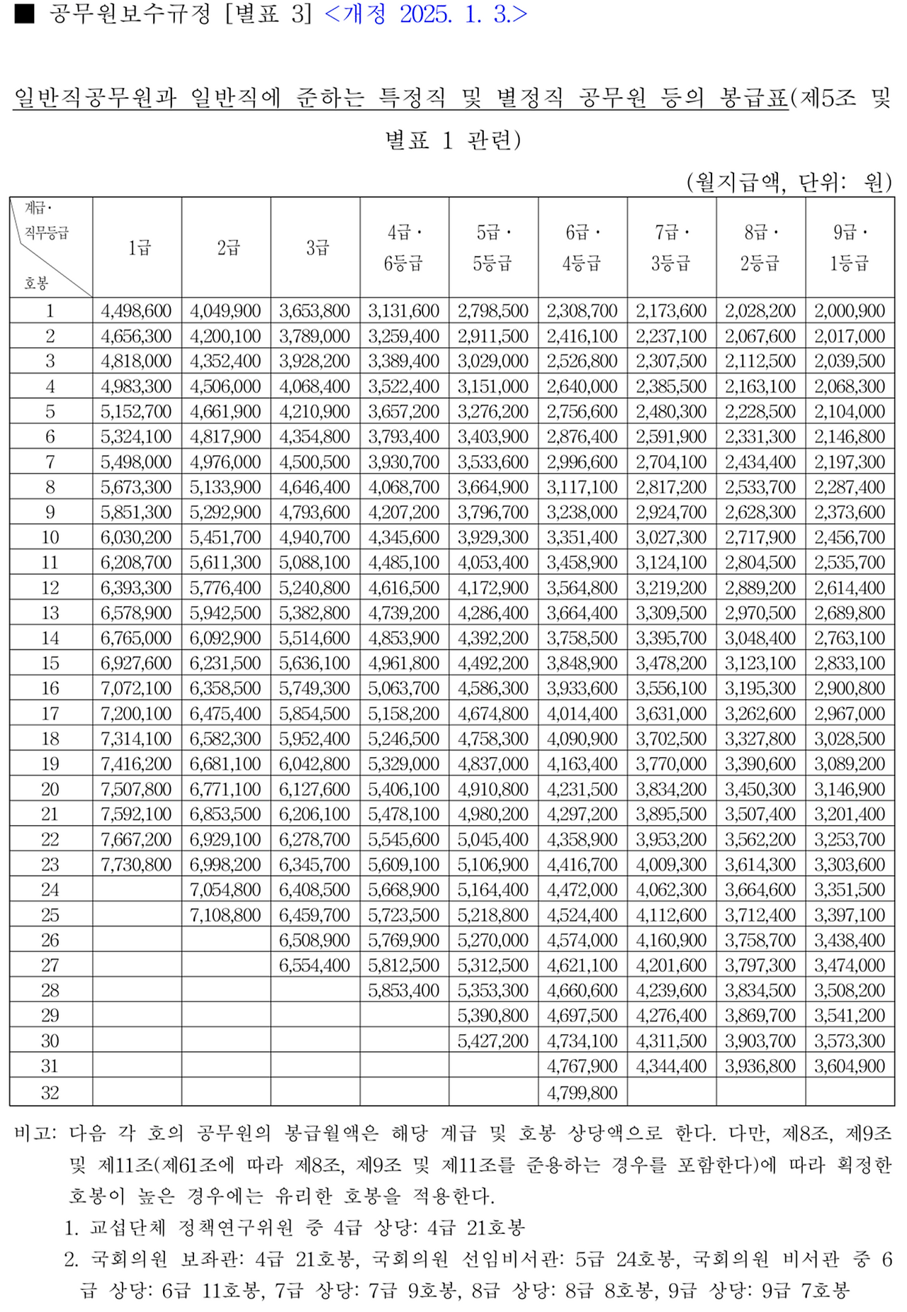
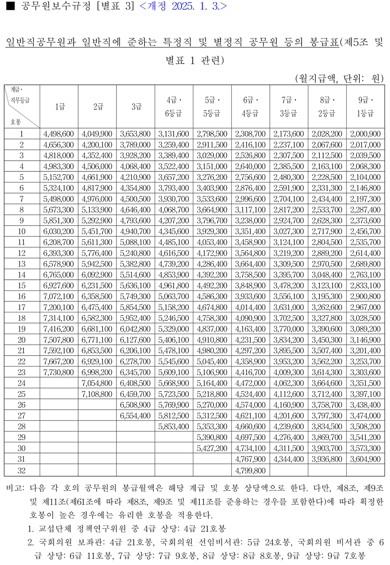
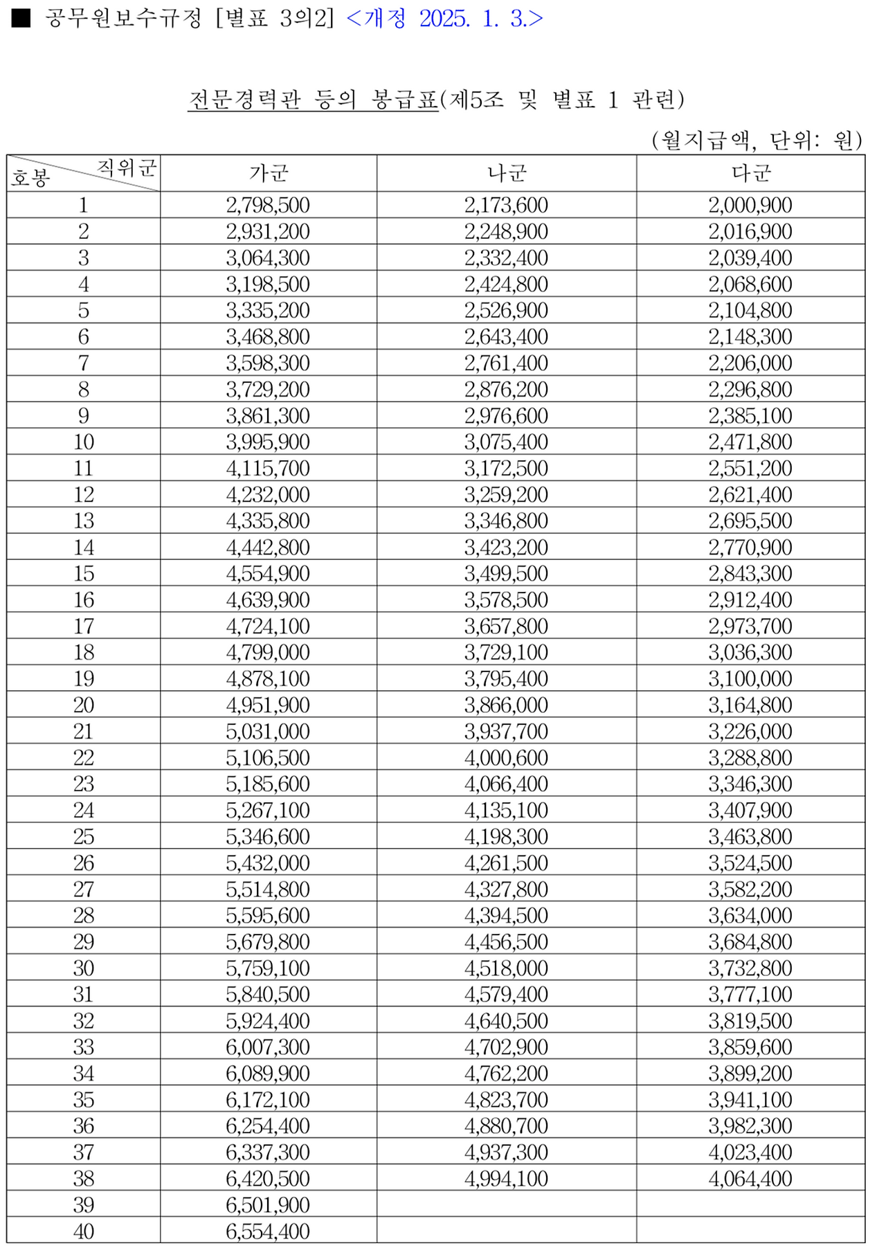
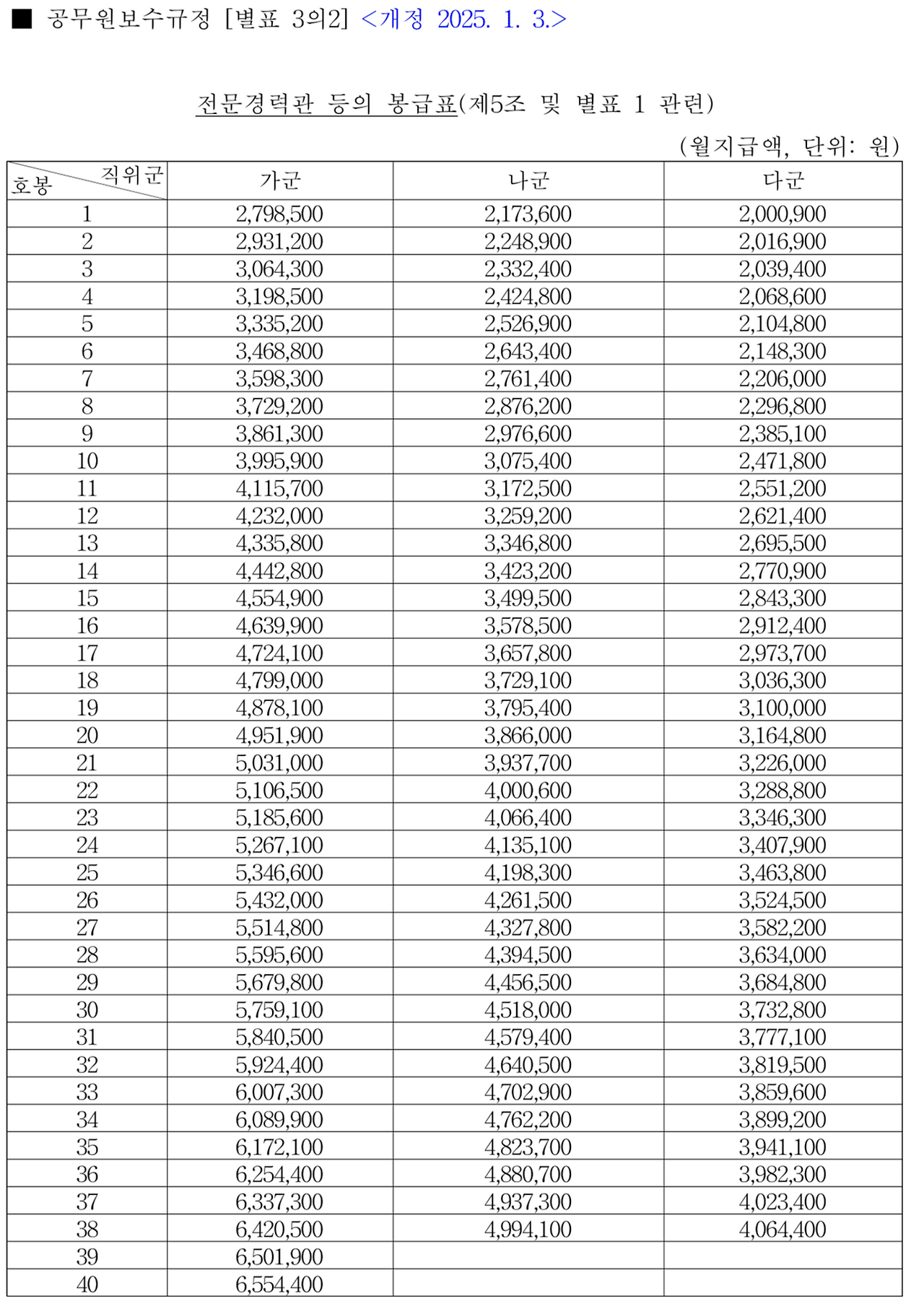
일반직 공무원 봉급표
일반직 공무원 및 특정직, 별정직 공무원의 봉급은 해당 계급 및 호봉에 따라 결정됩니다.
- 교섭단체 정책연구위원: 4급 21호봉 기준
- 국회의원 보좌관 및 비서관: 계급에 따라 4급 ~ 9급까지 다양한 봉급 체계 적용
일반직 공무원의 봉급 조정은 업무 효율성과 동기 부여를 증진시키며, 공공 행정 서비스의 질을 향상시키는 데 기여합니다.
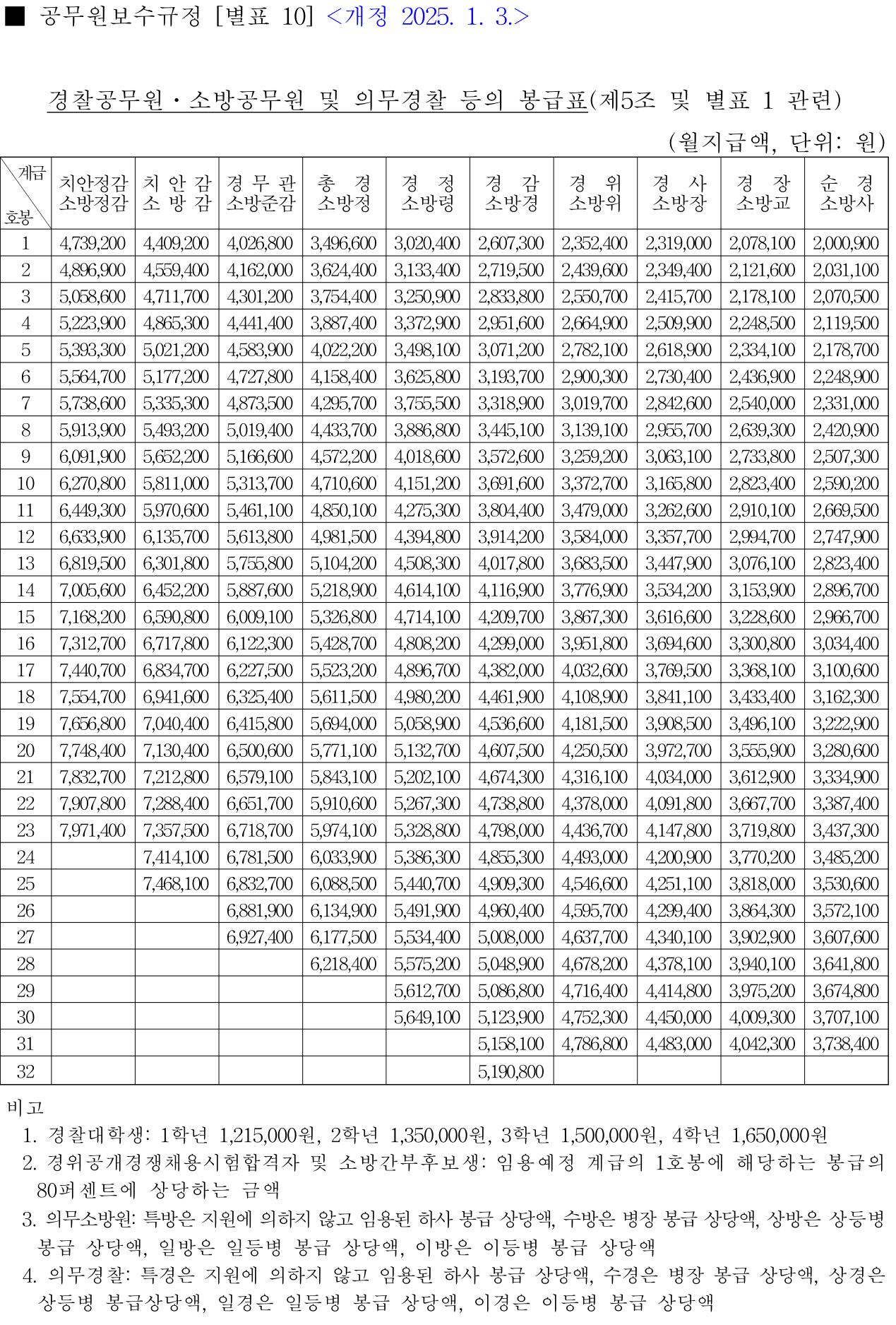
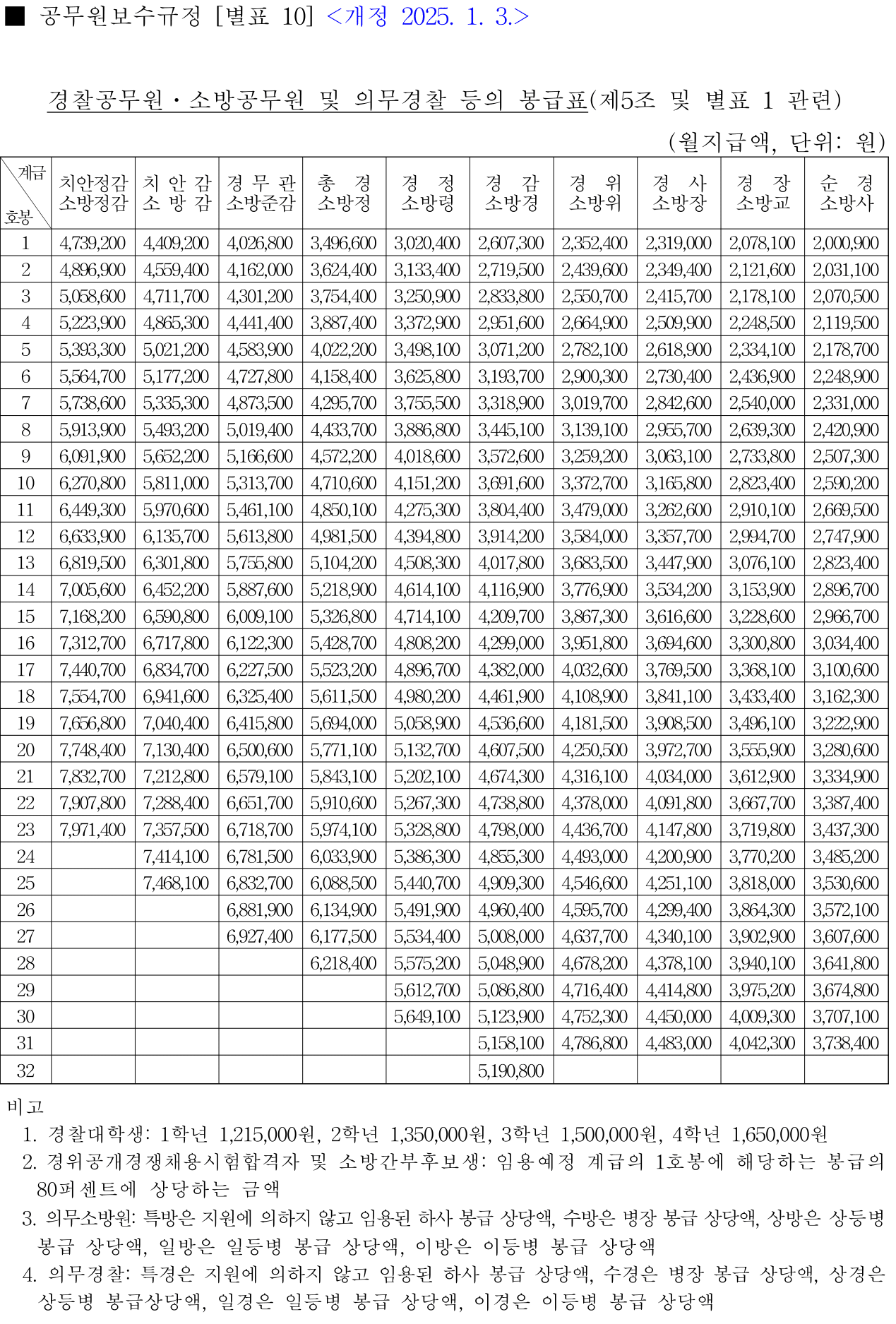
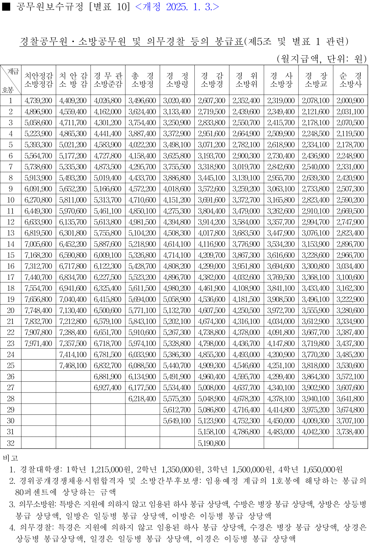
경찰공무원 및 소방공무원 봉급표

경찰대학생 월지급액
- 1학년: 1,215,000원
- 4학년: 1,650,000원
소방간부 및 의무소방원
- 소방간부: 임용예정 계급의 1호봉의 80% 지급
- 의무소방원: 계급별 병사 봉급 상당액 지급
경찰공무원과 소방공무원의 봉급 조정은 치안과 안전을 책임지는 이들의 사기를 높이고, 업무 효율성을 강화하는 데 긍정적인 영향을 미칠 것입니다.
군인 봉급표
군인의 봉급 체계는 계급별, 호봉별로 세분화되어 있습니다.

- 대장: 9,293,500원
- 병: 이등병 750,000원 ~ 병장 1,500,000원
특히 병사의 경우, 2025년에는 이등병 봉급이 대폭 인상되어 750,000원으로 책정되었습니다. 이는 병사들의 복지 개선과 군 생활의 질을 높이는 데 기여할 것으로 기대됩니다. 군인의 봉급 체계는 국가 안보를 책임지는 이들의 생활 안정에 기여하며, 병영 환경의 질적 향상을 유도할 것입니다.
공무원 봉급표 2025 주요 특징




기본급 인상
전반적인 기본급 인상이 이루어져 공무원들의 실질 소득이 향상되었습니다. 이는 물가 상승률을 고려한 결과로, 공무원들의 경제적 안정성을 보장합니다.
수당 및 보너스
- 가족수당 확대: 가족 구성원 수에 따라 차등 지급
- 근속수당 증가: 근무 기간이 길어질수록 추가 혜택 제공
- 성과급 강화: 우수한 성과를 낸 공무원에게 추가 보상
특별수당 신설
특정 직무와 직급에 따라 특별수당이 새롭게 추가되었습니다. 이는 공무원들의 직무 만족도와 업무 효율성을 높이는 데 기여할 것입니다. 예를 들어, 고위험 직무를 담당하는 공무원들에게 추가적인 보상이 이루어지며, 이러한 변화는 공공 서비스의 질을 높이는 데 중요한 역할을 합니다.
공무원 봉급표 2025 적용 대상 및 기준
적용 대상
공무원 봉급표 2025은 전 공무원을 대상으로 하며, 직급, 경력, 직무 등에 따라 급여가 결정됩니다. 이를 통해 다양한 직급과 직무를 담당하는 공무원들의 역할과 책임이 공정하게 반영됩니다.
결정 기준
- 직급별 급여 기준
- 경력에 따른 보상 체계
- 특정 직무 수당 적용
- 지역별 생활비 조정
봉급 결정 기준의 체계적인 적용은 공무원 간 형평성을 높이고, 업무 동기를 강화하는 데 기여할 것입니다.
공무원 봉급표 변화의 영향과 전망
2025년 공무원 봉급표 변화는 공무원과 정부 모두에 다양한 영향을 미칠 것으로 예상됩니다.
긍정적 영향
- 공무원의 생활 안정성 증대
- 직무 만족도 향상
- 우수 인재 유치 및 유지
공무원 봉급의 인상은 공공 서비스의 질을 높이고, 공무원들의 직무 효율성을 강화하는 데 기여합니다. 이러한 변화는 장기적으로 정부의 효율성을 높이고, 사회적 안정성을 강화할 것입니다.
잠재적 과제
- 정부 예산 부담 증가: 봉급 인상으로 인해 추가적인 재정 부담 발생
정부는 재정 건전성을 유지하면서 공무원 복지를 강화하기 위한 방안을 지속적으로 마련해야 할 것입니다.
적용 절차
봉급표 적용을 위한 단계
- 인사과 서류 제출: 직급, 경력, 근무지 정보 포함
- 심사 및 승인: 적합성 검토 후 최종 승인
- 온라인 포털 활용: 봉급표 조회 및 신청 가능
공무원들은 관련 정보를 미리 확인하고, 적시에 필요한 절차를 완료해야 합니다. 이러한 절차는 공무원 봉급 체계의 투명성을 높이고, 공정한 적용을 보장합니다.
결론
2025년 공무원 봉급표는 공무원들의 생활 안정과 복지 향상을 위한 중요한 변화입니다. 기본급 인상, 수당 확대, 특별수당 신설 등의 다양한 조치는 공무원의 직무 만족도와 업무 효율성을 높이는 데 기여할 것입니다. 정부는 이러한 변화를 통해 공공 서비스의 질을 높이고, 국민들에게 더 나은 서비스를 제공할 수 있을 것입니다. 앞으로도 공무원 봉급 체계의 지속적인 개선과 투명성이 유지되길 기대합니다.
키워드: 공무원 봉급표, 공무원 급여, 공무원 보수규정, 2025년 봉급표, 공무원 수당, 공무원 보너스, 공무원 인상률, 공무원 생활 안정, 공무원 복지, 공무원 성과급
'직업,직장 > 공무원 수당,규정,지침' 카테고리의 다른 글
| 소방관 계급 체계와 소방공무원 직급 순서 (0) | 2025.06.12 |
|---|---|
| 2025년 공무원 가족수당 인상 (0) | 2025.01.18 |
| 2024년 공무원 여비규정: 관외 출장 숙박비, 교통비, 식비, 관내 출장비 및 일비 (0) | 2024.11.02 |
| 공무원 근속 승진 소요 연수의 변화와 그 영향 (0) | 2024.09.12 |
| 2025년 공무원 봉급 인상률 (0) | 2024.08.20 |