경찰, 소방, 군대 계급 체계와 봉급표: 차이와 문제점


안녕하세요, 여러분. 오늘은 대한민국의 공무원 조직인 군대, 경찰, 소방의 계급과 봉급 체계에 대해 이야기해보려고 합니다. 특히 군인의 계급체계는 소방/경찰 계급 체계와 이원화되어 있어 봉급표에 차이가 발생하는데, 이로 인한 문제점에 대해서도 함께 이야기해 보겠습니다.
군인 계급 체계와 봉급
군인의 계급 체계는 경찰이나 소방과는 많이 다릅니다.
경찰관 계급체계

소방관 계급체계



군대 계급체계


이로 인해 군인 봉급표는 임금 피크가 2번 나타나는 특이한 모습을 보입니다.
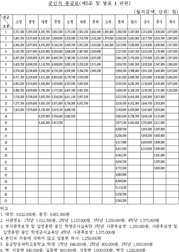
군인 봉급표 2024

직업군인 하사 1호봉의 기본급은 1,877,000원부터 시작하며, 고위급 장교(대장, 중장)의 경우, 고정급으로 대장은 9,022,800원, 중장은 8,861,900원입니다. 2024년 군인 봉급표는 군의 계급과 직무의 특성을 반영하여 구성됩니다.
특히 지원하지 않고 임용된 하사의 월급에 주목해야 합니다.
이는 일반 병사에서 특진 등으로 승진한 계급인 하사들을 의미합니다.
경찰이나 소방에는 이와 같은 하사에 준하는 계급이 없기 때문에, 의무경찰 혹은 전투경찰의 바로 상위 계급인 순경과 소방사로 진급하게 됩니다. 그들의 임금을 책정할 때는 지원하지 않고 임용된 하사의 월급을 참조합니다.


아...
2023년 5월과 6월에 각각 의무경찰과, 의무소방대가 마지막 전역자들을 배출하고 폐지됐습니다. 따라서 이제 더 이상 의무경찰이나 의무소방대원이 지원하지 않고 임용된 상위 계급 승진자는 나오지 않게 됐습니다.
2016년에는 해당 하사의 월급이 208,900원으로 책정되었는데, 이는 당시 병장 월급인 171,400원에 비해 높은 수치였습니다. 하지만 2024년 현재, 병장 월급이 1백25만 원으로 상향 조정된 상황에서 지원하지 않고 임용된 하사의 월급도 1백25만 원으로 동일하다는 점은 문제를 불러일으킵니다.
차등 없이 동일한 봉급, 그 문제점
군대에서 지원하지 않고 임용된 하사는 일반 병사일 때 지원하여 승진한 하사와는 차원이 다릅니다. 지원하여 승진한 하사들은 지원에 의한 계급이므로 봉급표대로 월급을 받게 되지만, 지원하지 않고 임용된 하사는 그렇지 않습니다.
예를 들어, 병장일 때 순직하여 1계급 특진되는 경우가 여기에 해당됩니다. 연평해전 때 순직한 박동혁 상병이 병장으로 특진된 것이 이런 경우의 예입니다. 또한, 연평도 포격에서 순직한 서정우 하사와 천안함 피격에서 순직한 이상민 하사도 지원하지 않고 임용된 하사에 해당합니다.
그런데 이들의 월급이 병장 월급과 같은 1백25만 원으로 책정되어 있다는 점은 비효율적이라고 볼 수 있습니다. 왜냐하면 이들이 월급을 계속 받게 되는 것이 아니라, 이 월급은 특별한 희생을 한 이들의 유족보상금 산정 시의 기초 자료가 되기 때문입니다.
'직업,직장 > 공무원 수당,규정,지침' 카테고리의 다른 글
| 대우공무원 수당 규정과 조견표 (0) | 2024.07.27 |
|---|---|
| 공무원 가족돌봄휴가 및 휴직 규정 정리 (0) | 2024.07.04 |
| 경찰 계급체계 계급표 직급체계 (0) | 2024.04.26 |
| 공무원 병가시 급여, 진단서 제출 규정 (0) | 2024.04.17 |
| 우체국 상시계약 집배원 월급, 근무시간, 휴가, 업무 특성, 자격 조건 (0) | 2024.03.27 |